A common mistake that people make when they do not use the Equations of Motion.
- Vishnu Vusirikala
- Jun 14, 2021
- 1 min read

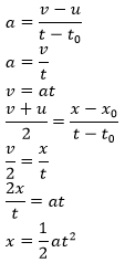
Imagine you meet a person, who has absolutely no knowledge about the equations of motion. However, he does know the formulas for acceleration and velocity. If you ask that same person to find a formula to calculate the displacement of an object starting from rest and moving in a straight line, using whatever knowledge he has, this is what he will probably do:

Note: a=acceleration, v=final velocity, u=initial velocity, t=final time, t0=initial time, x=total displacement, x0=initial displacement.
However we know that the equations of motion leads us to this conclusion:

This is very unexpected! When we are using different formulas, both of which are correct, why are we getting different solutions. Now here is where people go wrong: The formula of velocity as used in the first picture is not correct, it is wrong! Most people assume that it is the formula for velocity, when the truth is that it is the formula for average velocity! Here is what they would have gotten if they had taken it as average velocity:

Here we see that we have derived the same formula from both cases: using the traditional formulas and using the equations of motion. So, from next time, remember to be careful when using the formula of velocity!








Comments